Ομόφωνα εγκρίθηκε από τη γενική συνέλευση του ΦΟΔΣΑ Νοτίου Αιγαίου η τιμολογιακή πολιτική για το 2021, όπως αυτή καθορίστηκε από τη συνεδρίαση του Διοικητικού Συμβουλίου του ειδικού διαβαθμιδικού φορέα.
Έχοντας περάσει πλέον στην «επόμενη μέρα» της διαχείρισης των απορριμμάτων για τα νησιά του Νότιου Αιγαίου, καθώς αυτή πλέον έχει, κατόπιν θέσπισης σχετικής νομοθεσίας, ανατεθεί στον Ειδικό Περιφερειακό Διαβαθμιδικό Φορέα Διαχείρισης Στερεών Αποβλήτων Νοτίου Αιγαίου Α.Ε., η γενική συνέλευση του φορέα κλήθηκε, μετά το Διοικητικό του Συμβούλιο, να εγκρίνει την τιμολογιακή πολιτική, όσον αφορά στη διαχείριση, τόσο των αποβλήτων, όσο και των σχετικών υποδομών, για το 2021.
Παράλληλα, στο πλαίσιο της γενικής συνέλευσης, παρουσιάστηκε και ο αναδιαμορφωμένος ΠΕΣΔΑ Νοτίου Αιγαίου, ο οποίος θα αποσταλλεί στους Δήμους-μέλη του περιφερειακού ΦΟΔΣΑ, προς έγκριση.
Κόστος λειτουργίας και πόροι
Υπενθυμίζεται, ότι στον περιφερειακό ΦΟΔΣΑ, πέραν από τα νησιά της Δωδεκανήσου, συμμετέχουν από τον Νομό Κυκλάδων οι Δήμοι Σύρου - Ερμούπολης, Άνδρου, Νάξου και Μικρών Κυκλάδων, Θήρας, Τήνου, Κιμώλου, Φολεγάνδρου, Ανάφης, Σίκινου, Αντιπάρου, Μυκόνου, Κέας, Σερίφου, Κύθνου, Σίφνου, Αμοργού, Ιητών, Μήλου και Πάρου.
Επίσης, βάσει της νομοθεσίας που διέπει τη διαχείριση των απορριμμάτων για την Περιφέρεια Νοτίου Αιγαίου, ο νέος Ειδικός Περιφερειακός Διαβαθμιδικός ΦΟΔΣΑ καθίσταται καθολικός διάδοχος σε όλη την κινητή και ακίνητη περιουσία των λειτουργούντων – καταργημένων ΦΟΔΣΑ της εν λόγω Περιφέρειας, καθώς και των εγκαταστάσεων υγειονομικής ταφής αποβλήτων, μονάδων επεξεργασίας αποβλήτων συμπεριλαμβανομένων των βιοαποβλήτων και λοιπών εγκαταστάσεων διαχείρισης αστικών στερεών αποβλήτων των Δήμων μελών τους, ενώ υπεισέρχονται αυτοδικαίως σε όλα τα δικαιώματα και τις υποχρεώσεις των λειτουργούντων ΦΟΔΣΑ, συμπεριλαμβανομένων και τυχόν συμβάσεων έργου, με εξαίρεση τις εγκαταστάσεις και τον εξοπλισμό, που εξυπηρετούν τις ανάγκες συλλογής και μεταφοράς των στερεών αποβλήτων.
Σύμφωνα με τη σχετική ενημέρωση που πραγματοποιήθηκε προς τους εκπροσώπους των Δήμων – μελών του φορέα, το ετήσιο κόστος διαχείρισης του ΦΟΔΣΑ, προσδιορίζεται διακεκριμένα με βάση:
α) το ετήσιο κόστος λειτουργίας του,
β) τα ποσά που αφορούν στο κόστος αποκατάστασης και μεταφροντίδας των ΧΥΤΑ ή άλλων εγκαταστάσεων του συστήματος διαχείρισης, τα οποία υπολογίζονται σύμφωνα με τα χαρακτηριστικά της κάθε εγκατάστασης, σύμφωνα με σχετική τεχνικο-οικονομική μελέτη και εμφανίζονται σε λογαριασμό ειδικού αποθεματικού που διατίθεται για έργα αποκατάστασης και μεταφροντίδας,
γ) τα ποσά που αφορούν στο κατασκευαστικό και επενδυτικό πρόγραμμα του ΦΟΔΣΑ (μελέτη και κατασκευή έργων), τα οποία επίσης εμφανίζονται σε λογαριασμό ειδικού αποθεματικού που διατίθεται για επενδύσεις,
δ) τις δαπάνες για τη λειτουργία του ΦΟ.Σ.ΠΕΣΔΑ.
Το ετήσιο κόστος λειτουργίας του ΦΟΔΣΑ, προκύπτει από το κόστος των λειτουργιών παραγωγής, διοίκησης, διάθεσης, ερευνών και ανάπτυξης. Τα στοιχεία του κόστους κατά είδος ενδεικτικά διαρθρώνονται ως εξής:
α) αμοιβές και έξοδα προσωπικού,
β) αμοιβές και έξοδα τρίτων,
γ) παροχές τρίτων,
δ) φόροι - τέλη,
ε) διάφορα έξοδα,
στ) τόκοι και συναφή έξοδα,
ζ) αποσβέσεις παγίων,
η) προβλέψεις εκμετάλλευσης,
θ) αναλώσεις αποθεμάτων, όπως ιδίως πρώτες ύλες, αναλώσιμα υλικά, ανταλλακτικά, πάγια, υλικά συσκευασίας. Στα λειτουργικά έξοδα περιλαμβάνονται και οι δαπάνες για τις ενέργειες ενημέρωσης - ευαισθητοποίησης των πολιτών
ι) αντισταθμιστικά ωφελήματα, σύμφωνα με τις κείμενες διατάξεις.
Οι πόροι των ΦΟΔΣΑ είναι:
α) οι ετήσιες εισφορές, τα τέλη και οι εισπράξεις από το αντίτιμο των υπηρεσιών που παρέχουν προς τους Οργανισμούς Τοπικής Αυτοδιοίκησης και προς τρίτους,
β) κάθε είδους επιχορηγήσεις, δωρεές, κληρονομιές και κληροδοσίες,
γ) έσοδα από τη δική τους περιουσία, καθώς και από τη συμμετοχής τους σε προγράμματα,
δ) έσοδα από συμβάσεις με φορείς συστημάτων εναλλακτικής διαχείρισης του ν. 2939/2001,
ε) λοιπά έσοδα από κάθε πηγή, όπως από την εμπορία υλικών, βιοαερίου και ανανεώσιμων πηγών ενέργειας, πρόστιμα που επιβάλλονται για την καθυστερημένη καταβολή εισφορών των δήμων ή λοιπών πελατών
Μέχρι σήμερα, οι εγκαταστάσεις, τις οποίες διαχειρίζεται ο ΦΟΔΣΑ Ν. Αιγαίου βάσει των πρωτοκόλλων παράδοσης – παραλαβής που έχουν γίνει αφορούν στους:
• ΧΥΤΑ – ΣΜΑΥ Σύρου – Ερμούπολης, με προβλεπόμενο κόστος για το 2021, 208.333,33 ευρώ,
• ΧΥΤΑ Δήμου Πάρου – Αντιπάρου, με προβλεπόμενο κόστος για το 2021, 128.484,53 ευρώ και
• ΧΥΤΑ Δήμου Ρόδου (Νότιο Τμήμα), με προβλεπόμενο κόστος για το 2021, 364.692,90 ευρώ.
Ετήσιο κόστος διαχείρισης του 2021
Το ετήσιο κόστος λειτουργίας του Φο.Δ.Σ.Α, σύμφωνα με την ενημέρωση από τη διοίκηση του φορέα, ανέρχεται σε 2.238.404,14 ευρώ. Ειδικότερα, το κόστος αποκατάστασης και μεταφροντίδας ΧΥΤΑ αναφέρεται στους ΧΥΤΑ τους οποίους έχει ήδη παραλάβει με πρωτόκολλο παράδοσης – παραλαβής και ανέρχεται στο ποσό των 392.822,25 ευρώ, το οποίο αναλύεται, σε ό,τι αφορά τις μονάδες των Κυκλάδων:
- 12.255 tn (ΧΥΤΑ Σύρου – Ερμούπολης) x 15€ = 183.825 ευρώ,
- 9.239 tn (ΧΥΤΑ Πάρου – Αντιπάρου) x 15€ = 138.585 ευρώ.
Κατασκευαστικό και επενδυτικό πρόγραμμα του ΦΟΔΣΑ
Το σύνολο του κατασκευαστικού – επενδυτικού προγράμματος ανέρχεται σε 6.912.665,45 ευρώ. Από το ποσό αυτό, τα 5.371.734,85 ευρώ καλύπτονται από χρηματοδοτούμενα προγράμματα και το υπόλοιπο ποσό 1.549.930,60 ευρώ, από ιδίους πόρους του Φορέα.
Σύμφωνα με σχετικό πίνακα ο οποίος διατέθηκε προς ενημέρωση των μελών της γενικής συνέλευσης του ΦΟΔΣΑ, από χρηματοδοτικά προγράμματα εξασφαλίζεται η χρηματοδότηση για τα παρακάτω, μεταξύ άλλων, έργα για τις Κυκλάδες:
Σύρος:
- Μελέτες για την κατασκευή Μονάδας Επεξεργασίας Αστικών Αποβλήτων και επέκταση του ΧΥΤ Σύρου, με 253.226,31 ευρώ
Σαντορίνη:
- Ολοκληρωμένη Εγκατάσταση Επεξεργασίας Απορριμμάτων (Μονάδα Επεξεργασίας Αποβλήτων και ΧΥΤΥ), με 738.000 ευρώ
- Υπηρεσίες Τεχνικού Συμβούλου, με 40.000 ευρώ
- Προμήθεια εξοπλισμού κομποστοποίησης ιλύος ΒΙΟ.ΚΑ., με 56.700 ευρώ
- Οδός πρόσβασης στην ΟΕΔΑ, με 170.400 ευρώ
Τήνος:
- Κατασκευή Χώρου Υγειονομικής Ταφής Υπολειμμάτων και Μονάδας Κομποστοποίησης Δήμου Τήνου, με 1.179.655,36 ευρώ
- Υπηρεσίες βασικού μελετητή για τον ΧΥΤΥ και της μονάδας κομποστοποίησης, με 15.340,24 ευρώ
Άνδρος:
- Υπηρεσίες για τη διενέργεια υδρογεωλογικών εργασιών βάσει της από 22/06/2018 ΑΕΠΟ, με 89.363,85 ευρώ
Μήλος:
- Κατασκευή ΧΥΤΥ Μήλου και Μονάδας Κομποστοποίησης Βιοαποβλήτων, με 1.162.124,07 ευρώ
- Τεχνικός σύμβουλος του ανωτέρω έργου, με 31.700,79 ευρώ
Κίμωλος:
- Επέκταση ΧΥΤ, με 183.974,23 ευρώ
- Συνδέσεις του ΧΥΤ με δίκτυα ΟΚΩ, με 50.000 ευρώ
Ταυτόχρονα, προβλέπεται η δημιουργία Πράσινων Σημείων, Γωνιών Ανακύκλωσης και κινητών Πράσινων Σημείων, σε όλα τα νησιά.
Από ίδιους πόρους του ΦΟΔΣΑ Νοτίου Αιγαίου, αναμένεται να χρηματοδοτηθούν τα παρακάτω έργα:
- Ίδια συμμετοχή για την πράξη «Χώρος υγειονομικής ταφής υπολιεμμάτων και Μονάδα Επεξεργασίας Αποβλήτων Δήμου Άνδρου (308,99 ευρώ)
- Παροχή υπηρεσίας για την υποστήριξη στην υποβολή πρότασης χρηματοδότησης του έργου «Επεξεργασία υπολειμματικών σύμμεικτων ΑΣΑ και προδιαλεγμένων βιοαποβλήτων νήσου Νάξου & Μικρών Κυκλάδων (30.000 ευρώ)
- Παροχή υπηρεσίας για την υποστήριξη στην υποβολή πρότασης χρηματοδότησης του έργου «Κατασκευή Β’ φάσης και αναβάθμισης της εγκατάστασης επεξεργασίας στραγγισμάτων (ΕΕΣ) του ΧΥΤΑ Πάρου και κατασκευή μονάδας βιοαποβλήτων (ΜΕΒΑ) Δήμου Πάρου (30.000 ευρώ)
- Ίδια συμμετοχή για την πράξη «Μονάδα Επεξεργασίας Στερεών Αποβλήτων και κατασκευή νέου κυττάρου ΧΥΤΥ Δήμου Σύρου – Ερμούπολης (414,11 ευρώ)
- Ίδια συμμετοχή για την πράξη «ΧΥΤΥ και Μονάδα Κομποστοποίησης Δήμου Τήνου (11.138,43 ευρώ)
- Ίδια συμμετοχή για την πράξη «Δράσεις για την ολοκληρωμένη διαχείριση αστικών αποβλήτων Δήμου Μήλου (7.799,16 ευρώ)
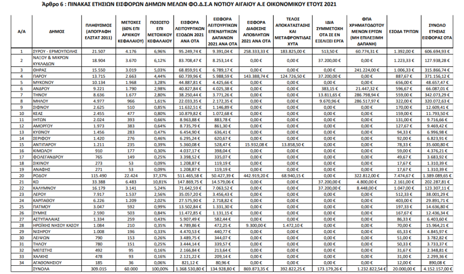
Εισφορές των Δήμων
Όπως αναφέρεται στο πλαίσιο της ενημέρωσης, για τον υπολογισμό των εισφορών λειτουργικών εξόδων 2021 αλλά και λειτουργικών επενδυτικών δαπανών ανά Δήμο-Μέλος (έξοδα που επηρεάζουν τη συνολική λειτουργία του φορέα οπότε επιβαρύνουν όλους τους δήμους – μέλη) έγινε χρήση των ποσοστών βάσει πληθυσμού (απογραφή ΕΛΣΤΑΤ 2011) και ακολούθως των ποσοστών συμμετοχής στο αρχικό μετοχικό κεφάλαιο για κάθε Δήμο-Μέλος, επί των συνολικών αυτών εξόδων.
Επιπρόσθετα, για τους Δήμους Μέλη Σύρου – Ερμούπολης, Πάρου, Αντίπαρου και Ρόδου συνυπολογίστηκαν διακριτά και ενσωματώθηκαν στην τελική ετήσια εισφορά τους οι εισφορές διάθεσης αποβλήτων καθώς και το τέλος αποκατάστασης και μεταφροντίδας ΧΥΤΑ με βάση το κόστος των παρεχόμενων υπηρεσιών που αφορούν στις εγκαταστάσεις που διαχειρίζεται σήμερα ο ΦΟΔΣΑ Ν. Αιγαίου Α.Ε.
Τέλος, η ιδία συμμετοχή σε εν εξελίξει έργα καθώς και το ΦΠΑ χρηματοδοτούμενων έργων ενσωματώθηκε διακριτά στην ετήσια εισφορά του Δήμου Μέλους που αφορά η εν εξελίξει ή επικείμενη τεχνική δράση.
Επιπλέον, όσον αφορά στην τιμολογιακή πολιτική για τους ιδιώτες και τα έσοδα τρίτων, καθορίζεται ως τιμή εισόδου για τους ιδιώτες σε όλες τις εγκαταστάσεις διάθεσης αποβλήτων του ΦοΔ.Σ.Α Νοτίου Αιγαίου Α.Ε το ποσό των 40 ευρώ/tn . Εν προκειμένω για το έτος 2021 εκτιμάται ως έσοδο τρίτων το ποσό ύψους 20.000 ευρώ, το οποίο μειώνει ουσιαστικά το κόστος διαχείρισης (ανακτήσιμο κόστος εις ολόκληρο) των Δήμων – μελών, σύμφωνα με τη σχετική εισήγηση.

Οι πρώτες… αντιρρήσεις
Πρώτος Δήμος – Μέλος που συζήτησε και έλαβε απόφαση επί της εγκεκριμένης από την Γενική Συνέλευση του ΦΟΔΣΑ Ν. Αιγαίου, ήταν ο Δήμος Νάξου και Μικρών Κυκλάδων, καθώς το θέμα συζητήθηκε στη συνεδρίαση του Δημοτικού Συμβουλίου που πραγματοποιήθηκε στις 4 Αυγούστου.
Υπενθυμίζεται, ότι ο Δήμος Νάξου & Μικρών Κυκλάδων, όχι μόνο είχε αντιδράσει κατά την ψήφιση της σχετικής νομοθεσίας, που προέβλεπε τη σύσταση περιφερειακού ΦΟΔΣΑ για το Νότιο Αιγαίο και το Ιόνιο, αλλά και κατόπιν της σύστασης του φορέα, με το Δήμο να ζητά την «ανεξαρτητοποίησή» του από τον συλλογικό φορέα, έχοντας εκδώσει και σχετική απόφαση.
Στο ίδιο μήκος κύματος και σε αυτή την περίπτωση, το Δημοτικό Συμβούλιο του Δήμου Νάξου & Μικρών Κυκλάδων, απέρριψε, με 15 ψήφους, έναντι 4 κατά, το σχέδιο καθορισμού της τιμολογιακής πολιτικής του ΦΟΔΣΑ Ν. Αιγαίου, τονίζοντας, ότι αποτελεί δικαίωμα των Δήμων να καθορίζουν με κανονιστικές αποφάσεις τους κατά τα άρθρα 79 και 76 του ν. 3436/2006 τα σχετικά τέλη και εισφορές, σχετικά με την αποκομιδή και διαχείριση των στερεών αποβλήτων, ενώ εμμένει στην προηγούμενη απόφαση του Δημοτικού Συμβουλίου, που προέβλεπε την παρέμβαση για εξαίρεση του Δήμου από το σχήμα.
Από την πλευρά της μείζονος μειοψηφίας, ο επικεφαλής, κ. Λεονάρδος Χατζηανδρέου, υποστήριξε, ότι δεδομένου ότι ο Δήμος εξακολουθεί να είναι μέλος του συγκεκριμένου φορέα, δημιουργείται «κενό» από την άρνηση του Δήμου να εγκρίνει την τιμολογιακή πολιτική, ενόσω συμμετέχει στο σχήμα. «Πρέπει να δούμε πως θα διαχειριστούμε αυτήν την υπόθεση κατά τον καλύτερο δυνατό τρόπο. Πρέπει όσο είμαστε μέλος να εκμεταλλευτούμε τη συμμετοχή μας και να διεκδικήσουμε. Για λόγους σοβαρότητας του Δήμου απέναντι στο Νότιο Αιγαίο πρέπει να στηρίξουμε και να πάμε να διεκδικήσουμε», τόνισε ο κ. Χατζηανδρέου, ξεκαθαρίζοντας ωστόσο, ότι συνεχίζει να στηρίζει την απόφαση του Δ.Σ. για ανεξαρτητοποίηση της Νάξου και των Μικρών Κυκλάδων από τον ενιαίο φορέα.
Απαντώντας, ο Πρόεδρος του Δημοτικού Συμβουλίου, κ. Φώτης Μαυρομμάτης, σημείωσε, ότι ο καθορισμός των τελών και η κατάρτιση τιμολογιακής πολιτικής αποτελούν αρμοδιότητα του Δήμου και μόνο, ενώ τόνισε, ότι «δεν απεμπολούμε επ’ ουδενί την αρμοδιότητα μας να καθορίζουμε την τιμολογιακή μας πολιτική», αποσαφηνίζοντας ότι ο Δήμος μετέχει στον ΦΟΔΣΑ αναγκαστικά, βάσει νόμου, ο οποίος έχει ζητηθεί με τη σχετική απόφαση του Δ.Σ. να αλλάξει.