Ζήτησαν και έλαβαν χαμηλότερους προϋπολογισμούς
- Τρίτη, 28 Δεκεμβρίου, 2021 - 06:20
- / Eνημέρωση: 28 Δεκ. 2021 - 19:00
Σε τροποποίηση της τιμολογιακής πολιτικής του για το 2022, προχώρησε τελικά ο ΦΟΔΣΑ Ν. Αιγαίου Α.Ε., χθες, στη γενική συνέλευση των μελών του στη Σύρο, ικανοποιώντας το κύριο αίτημα των Δήμων, για μείωση των προϋπολογιζόμενων ποσών όσον αφορά τη διαχείριση των ΧΥΤΑ και των απορριμμάτων των νησιών.
Συγκεκριμένα, Δήμαρχοι, δημοτικοί σύμβουλοι και εκπρόσωποι των νησιών από Κυκλάδες και Δωδεκάνησα συμμετείχαν στη χθεσινή γενική συνέλευση, μεταφέροντας αποφάσεις των συλλογικών οργάνων τους, οι οποίες εστίαζαν στο αίτημα της συρρίκνωσης ποσών που προβλέπονται σε συγκεκριμένες κατηγορίες και τέλη, ώστε να μην κληθούν να δώσουν μεγάλα ποσά στον ΦΟΔΣΑ Ν. Αιγαίου, για υπηρεσίες τις οποίες – όπως τόνισαν – οι ίδιοι εξασφάλιζαν με χαμηλότερα κόστη τα παλαιότερα έτη και πριν την ίδρυση του Φορέα.
Η αγωνία των Δήμων είχε προκληθεί από την πρόταση του ΦΟΔΣΑ Ν. Αιγαίου σχετικά με τον προϋπολογισμό για το έτος 2022, καθώς στους σχετικούς πίνακες οι Δήμαρχοι διαπίστωναν υπέρογκα ποσά σχετικά με τη λειτουργία των κυττάρων τους και γενικώς της διαχείρισης των απορριμμάτων, συγκριτικά με τα παρελθόντα έτη. Μάλιστα, πολλοί Δήμοι είδαν προϋπολογισμούς διπλάσιους και τριπλάσιους σχεδόν από τα κόστη που είχαν συνηθίσει μέχρι σήμερα, αντιδρώντας έντονα απέναντι στον περιφερειακό ΦΟΔΣΑ Ν. Αιγαίου. Ειδικότερα, δήμαρχοι και εκπρόσωποι των Κυκλάδων εστίασαν στα ποσά που περιλαμβάνονταν στα τέλη ταφής και στα τέλη αποκατάστασης και μεταφροντίδας των ΧΥΤΑ, όπως επίσης και στην κατηγορία της εισφοράς διάθεσης των αποβλήτων, λέγοντας πως για αυτά πρέπει να υπάρξει κοινή στάση των Δήμων, για να μην προκύψει “χαράτσωμα” των δημοτικών ταμείων.
Από την πλευρά του, ο Περιφερειάρχης και πρόεδρος του Φορέα προέβη σε μία αναλυτική τοποθέτηση, τονίζοντας προς τους εκπροσώπους των Δήμων, πως, δυστυχώς οι ίδιοι και συνολικά τα Δημοτικά Συμβούλια δεν είχαν κατανοήσει ότι τα ποσά των προϋπολογισμών για κάθε νησί, δεν θα δίνονταν στο ακέραιο, αφού – εκ του νόμου – ο περιφερειακός ΦΟΔΣΑ χρεώνει βάσει απολογιστικού έργου και πεπραγμένων.
Ωστόσο, αφουγκραζόμενος την αγωνία των Δήμων, πρότεινε να προχωρήσουν σε μειώσεις ποσών σε συγκεκριμένες κατηγορίες του οικονομικού πίνακα, διευκρινίζοντας παράλληλα όμως, πως, τα τέλη στα οποία αντιδρούν οι Δήμοι, μελλοντικά θα τα βρουν μπροστά τους, καθώς η χώρα και κατ΄ επέκταση τα νησιά οφείλουν να συμμορφώνονται με τις οδηγίες της ισχύουσας νομοθεσίας και να μεριμνούν εγκαίρως για το περιβάλλον και την ορθή διαχείριση των απορριμμάτων.
Ο ίδιος σημείωσε μάλιστα πως τα τέλη ταφής και αποκατάστασης και μεταφροντίδας των ΧΥΤΑ, δεν προέρχονται από αποφάσεις του περιφερειακου Φορέα, αλλά επί της ουσίας αποτελούν θεσμικά τέλη.
Αξίζει να σημειωθεί πως εντός του πρώτου τριμήνου του 2022, ο περιφερειακός ΦΟΔΣΑ Ν. Αιγαίου θα προβεί σε προσλήψεις 75 ατόμων, σύμφωνα με όσα εξήγησε ο Γιώργος Χατζημάρκος.
Μειώνονται τα ποσά σε τρεις κατηγορίες
Η έγκριση της τιμολογιακής πολιτικής του ΦΟΔΣΑ Ν. Αιγαίου για το έτος 2022 προέκυψε μετά από μία σχεδόν τετράωρη συζήτηση του θέματος, με τις δύο πλευρές, προεδρείο και μέλη, να συμφωνούν στον τρόπο με τον οποίον θα χρεωθούν τελικώς τρεις οικονομικές κατηγορίες.
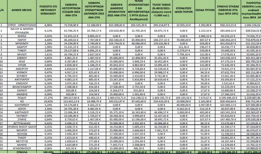
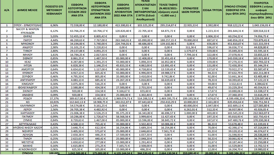
Ειδικότερα, από τα στοιχεία που είχαν στη διάθεσή τους οι συμμετέχοντες και που παρουσιάζονται στο σημερινό ρεπορτάζ της “Κοινής Γνώμης”, αποφασίστηκε να μειωθούν - οριζόντια για όλους τους Δήμους - κατά 85% τα ποσά που αντιστοιχούν στο τέλος αποκατάστασης και μεταφροντίδας των ΧΥΤΑ, κατά 20% τα ποσά στα τέλη ταφής και κατά 20% τα ποσά που αφορούν την εισφορά διάθεσης αποβλήτων.
Οι ανωτέρω μειώσεις βρήκαν σύμφωνους όλους τους Δημάρχους, αν και ορισμένοι εξ αυτών με αποφάσεις των συλλογικών οργάνων τους, είχαν αποδεχθεί πως θα χρειαστεί να βάλουν βαθιά το χέρι στην τσέπη, αν επιθυμούν να κάνουν γενναία βήματα σε επίπεδο διαχείρισης των απορριμμάτων και λειτουργίας των ΧΥΤΑ.
Γ. Χατζημάρκος: Εκ του νόμου, απολογιστικά η χρέωση
Αρχικά ο Περιφερειάρχης και πρόεδρος του Φορέα, Γιώργος Χατζημάρκος εμφανώς ενοχλημένος από την κακή προετοιμασία των Δήμων για τη συγκεκριμένη συζήτηση, σύμφωνα με τις αρνητικές γνωμοδοτικές αποφάσεις Δημοτικών Συμβουλίων, θέλησε να προβεί σε διευκρινίσεις.
Ειδικότερα, ο ίδιος ακούγοντας τους αιρετούς να ζητούν να γίνονται απολογιστικά οι χρεώσεις στους Δήμους, έσπευσε να τονίσει πως αυτό ούτως ή άλλως προβλέπεται εκ της νομοθεσίας, γεγονός που σημαίνει πως οι Δήμοι δεν θα πληρώσουν τα ποσά που έχουν προϋπολογισθεί, αλλά σαφώς μικρότερα.
Εστιάζοντας μάλιστα στο θέμα των τελών ταφής, ο ίδιος εξήγησε πως δυστυχώς, όταν η σχετική πρόβλεψη είχε βγει σε διαβούλευση από την κυβέρνηση, οι Δήμοι δεν συμμετείχαν και ως εκ τούτου, ήρθαν εκ των υστέρων και άδικα να κατηγορήσουν τον περιφερειακό ΦΟΔΣΑ, ο οποίος καλείται να εφαρμόσει και να τηρήσει κατά γράμμα τη νομοθεσία.
“Η ΚΕΔΕ ήταν ανύπαρκτη στη διαβούλευση για τον συγκεκριμένο νόμο” σχολίασε χαρακτηριστικά ο κ. Χατζημάρκος, υπενθυμίζοντας μάλιστα πως η συμμετοχή της Περιφέρειας σε αυτήν τη διαβούλευση, έφερε σαν αποτέλεσμα την εξαίρεση των μικρών νησιών (μέχρι 1.000 κατοίκους) από την εφαρμογή του εν λόγω τέλους.
Επιπλέον, ο κ. Χατζημάρκος ξεκαθάρισε πως δεν ζήτησε ποτέ από τους Δήμους να πάνε σε αύξηση των δημοτικών τελών για να εξυπηρετήσουν τα ποσά που προϋπολογίζει ο περιφερειακός ΦΟΔΣΑ, σημειώνοντας μάλιστα σε “επιθετικό” τόνο, πως, αν υπάρξει πλευρά που το υποστηρίξει αυτό ξανά, ο ίδιος θα προχωρήσει σε λεπτομερέστατο έλεγχο τω ανταποδοτικών τελών.
Περιβάλλον και τουρισμός
Άκρως σημαντική υπήρξε η παρατήρηση από πλευράς προέδρου του Φορέα σχετικά με τη φροντίδα του περιβάλλοντος στα νησιά και την αναγκαιότητα ανάπτυξης αυτής, στην κατεύθυνση που “επιβάλλει” άλλωστε και η υπόθεση του τουρισμού στο Νότιο Αιγαίο.
Σύμφωνα με όσα τόνισε ο ίδιος, κανένας εκ των Δημάρχων δεν έχει λάβει σοβαρά υπόψιν του, πως, το κάθε νησί “πουλάει” και το περιβάλλον του, το οποίο πρέπει να λειτουργεί θετικά στα μάτια των επισκεπτών. Ειδικότερα, ανέφερε σε απόλυτο τόνο πως το Νότιο Αιγαίο οφείλει να μεριμνά για τις υποδομές του στο κομμάτι της διαχείρισης των απορριμμάτων, αφού αυτές αποτελούν μέρος της γενικότερης εικόνας που “πουλά” η περιφέρεια.
Εμφανώς απογοητευμένος από τη στάση Δημάρχων και δημοτικών συμβούλων, οι οποίοι δεν έκαναν καμία νύξη στη σύνδεση περιβάλλοντος – τουρισμού, τόνισε πως οι ίδιοι δεν πρέπει να ξεχνούν από ποια οικονομική δραστηριότητα, τα νησιά έχουν εξαιρετικά σημαντικά έσοδα.
Μάλιστα, συμπλήρωσε πως και γι αυτόν το λόγο, οι λύσεις για το πρόβλημα της ρύπανσης του περιβάλλοντος, δεν υπάρχουν περιθώρια να μετατίθενται για το μέλλον.
Ο ίδιος έκλεισε την τοποθέτησή του, εξηγώντας πως o πρώτος βαθμός της Αυτοδιοίκησης, οφείλει κάποια στιγμή “να κοιταχτεί στον καθρέπτη”, να κάνει αυτοκριτική σχετικά με την ανυπαρξία μέριμνας επί πολλά έτη σχετικά με τις ανάγκες αποκατάστασης των ΧΥΤΑ, όπως αυτές θα προκύψουν και θα απαιτήσουν χρήματα, ενώ δεν παρέλειψε να εξηγήσει πως οι αιρετοί των Δήμων, καλό είναι να λειτουργούν με ειλικρίνεια απέναντι στους δημότες για το κομμάτι των ανταποδοτικών τελών.
“Φωνές” ενάντιες και “φωνές” σύμφωνες με τον περιφερειακό ΦΟΔΣΑ Ν. Αιγαίου
Δύο διαφορετικές προσεγγίσεις από πλευράς Δήμων καταγράφηκαν χθες στη Γενική Συνέλευση του περιφερειακού ΦΟΔΣΑ Ν. Αιγαίου από τους συμμετέχοντες σχετικά με το θέμα της τιμολογιακής πολιτικής.
Ειδικότερα, υπήρξαν Δήμαρχοι και δημοτικοί σύμβουλοι που τεκμηριωμένα ζήτησαν να μειωθούν τα ποσά που προϋπολογίζει ο Φορέας για το έτος 2022, ενώ υπήρξαν και αυτοδιοικητικοί που υπεραμύνθηκαν του οικονομικού πλάνου που είχαν στη διάθεσή τους. Συγκεκριμένα, αν και η Γενική Συνέλευση έγινε στη Σύρο, απών ήταν ο Δήμαρχος Σύρου – Ερμούπολης, Νίκος Λειβαδάρας σε ένα τόσο σοβαρό θέμα και ο Δήμος – όπως είναι γνωστό - εκπροσωπήθηκε από τον δημοτικό σύμβουλο, Γιάννη Βρούτση, που είναι και μέλος της. Ωστόσο, μαζί με τον ίδιο παρακολούθησε ο Αντιδήμαρχος Οικονομικών, Γιάννης Πιταούλης και ο Αντιδήμαρχος Τεχνικών Υπηρεσιών, Μηνάς Αληφραγκής. Να σημειωθεί πως ο κ. Χατζημάρκος εξήγησε πως θα μπορούσαν να πάρουν όλοι όσοι επιθυμούν τον λόγο στη συζήτηση, ανεξαρτήτως των προσώπων που θα ψήφιζαν βάσει του καταστατικού του Φορέα.
Ως εκ τούτου, τις θέσεις του δημοτικού συμβουλίου της Σύρου ανέφερε ο Γιάννης Βρούτσης, ο οποίος ουσιαστικά ζήτησε μείωση του προϋπολογισμού κατά 150 χιλ. ευρώ, σχολιάζοντας ιδιαίτερα και το κομμάτι των τελών ταφής και αποκατάστασης.
Με τεκμηριωμένη πρόταση για την Πάρο εμφανίστηκε ο Δήμαρχος Πάρου, Μάρκος Κωβαίος, ο οποίος ανέφερε με στοιχεία πως ο Φορέας ζητά από τον Δήμο να δώσει ποσό κατά 300 χιλ. ευρώ μεγαλύτερο από αυτό που χρειαζόταν ο ίδιος για τη διαχείριση των απορριμμάτων. Ο ίδιος εξήγησε πως η διαφωνία του Δήμου Πάρου συνδέεται σαφώς και με τα τέλη ταφής και αποκατάστασης.
Επιπλέον, με ουσιαστική εισήγηση παρουσιάστηκε και η Δήμαρχος Κέας, Ρένα Βελισσαροπούλου η οποία εξήγησε πως παλεύει να αναπτύξει την ανακύκλωση στο νησί, ώστε οι κάτοικοί του να ενισχύουν μία ουσιαστική κατεύθυνση στη διαχείριση των απορριμμάτων. Η ίδια μίλησε και για τα πολυσυζητημένα τέλη, ζητώντας από τον Περιφερειάρχη, η όποια μετάβαση στη νέα εποχή του Φορέα να είναι ομαλή και ήπια.
Σε αντίθεση με τα ανωτέρω, οι Δήμαρχοι Θήρας και Άνδρου, Αντώνης Σιγάλας και Δημήτρης Λοτσάρης υποστήριξαν την αρχική πρόταση της τιμολογιακής πολιτικής του ΦΟΔΣΑ Ν. Αιγαίου, δίνοντας έμφαση στην ανάγκη ριζικών αλλαγών στα νησιά τους, όσον αφορά τη διαχείριση των απορριμμάτων σε σχέση και με τον τουρισμό και την εικόνα των νησιών. Ο κ. Σιγάλας μάλιστα υπενθύμισε την αύξηση των δημοτικών τελών κατά 25% στο νησί του, υπογραμμίζοντας πως ο ίδιος επέλεξε να κάνει ουσιαστικά μία νέα προσέγγιση στα θέματα του περιβάλλοντος.
Aπό τον ΦΟΔΣΑ Ν. Αιγαίου εκδόθηκε την επόμενη ημέρα της συνεδρίασης η εξής ανακοίνωση:
«Ομόφωνα εγκρίθηκαν στην έκτακτη Γενική Συνέλευση του Ειδικού Περιφερειακού Διαβαθμιδικού Φορέα Διαχείρισης Στερεών Αποβλήτων Νοτίου Αιγαίου Α.Ε. (ΦοΔΣΑ) όλα τα θέματα της ημερήσιας διάταξης. Μαζί με τον ετήσιο Προϋπολογισμό της εταιρίας για το 2022, ψηφίσθηκαν επίσης ομόφωνα το Τεχνικό Πρόγραμμα ΦοΔΣΑ Νοτίου Αιγαίου 2022 και η έγκριση της Τιμολογιακής Πολιτικής και εισφορών μελών για το 2022.
Η συνεδρίαση πραγματοποιήθηκε τη Δευτέρα 27 Δεκεμβρίου στη Σύρο -μετά από πρόσκληση που εστάλη στις 3/12/21- με την παρουσία των μετόχων Δήμου Ρόδου, Δήμου Κω, Δήμου Θήρας, Δήμου Σύρου, Δήμου Μυκόνου, Δήμου Πάρου, Δήμου Πάτμου, Δήμου Αμοργού, Δήμου Άνδρου, Δήμου Κέας και της Περιφέρειας Νοτίου Αιγαίου κι εκπροσωπήθηκε από το 83,98% του μετοχικού κεφαλαίου της εταιρίας.
Το Τεχνικό Πρόγραμμα οικονομικού έτους 2022 συντάχθηκε με σκοπό την προώθηση και εκπλήρωση των στόχων-δράσεων που έχει θέσει ο Φορέας για την ολοκληρωμένη διαχείριση των στερεών αποβλήτων της χωρικής του αρμοδιότητας, σύμφωνα με το Εθνικό Σχέδιο Διαχείρισης Αποβλήτων (Ε.Σ.Δ.Α.) και το εγκεκριμένο Περιφερειακό Σχέδιο Διαχείρισης Αποβλήτων (ΠΕ.Σ.Δ.Α.) το οποίο τελεί υπό αναθεώρηση-επικαιροποίηση σύμφωνα με τις κατευθύνσεις του νέου Ε.Σ.Δ.Α., στα όρια των υφιστάμενων δυνατοτήτων του με εξασφαλισμένους συγχρηματοδοτούμενους και ιδίους πόρους. Περιλαμβάνει την πλειονότητα των έργων/μελετών της μεταβατικής περιόδου (συνεχιζόμενα έργα/μελέτες από το έτος 2021) τα οποία είναι αναγκαίο να ολοκληρωθούν και να τεθούν σε λειτουργία, τα απαιτούμενα έργα επεξεργασίας και τελικής διάθεσης, καθώς και την ωρίμανση νέων προτεινόμενων έργων-υποδομών προκειμένου να επιτευχθούν οι στόχοι που τίθενται στον σχεδιασμό.
Ο προϋπολογισμός του οικονομικού έτους 2022 έχει λάβει υπόψη τις ανάγκες του φορέα και κάθε εγκατάστασης διαχείρισης απορριμμάτων (ΧΥΤΑ, κλπ), την αναγκαιότητα άμεσης πρόσληψης προσωπικού, τις επενδυτικές δαπάνες (χρηματοδότηση μελετών-έργων), καθώς και κάθε έξοδο που αφορά τη λειτουργία του τόσο για την παροχή των αρμοδιοτήτων του, όσο και την παροχή των υποστηρικτικών υπηρεσιών στους Δήμους μέλη του.
Η τιμολογιακή πολιτική έτους 2022 καταρτίστηκε και προσδιορίζεται από την εφαρμογή της αρχής «ο ρυπαίνων πληρώνει», την αρχή της ανταποδοτικότητας και της διαφάνειας, τη δημιουργία κινήτρων για τη μείωση του όγκου και της επικινδυνότητας των αποβλήτων και της ανακύκλωσης - ανάκτησής τους και την κάλυψη του συνόλου των απαιτήσεων που θέτει η κείμενη περιβαλλοντική νομοθεσία»
Ο Περιφερειάρχης Νοτίου Αιγαίου και Πρόεδρος του ΦοΔΣΑ Ν.Α., Γιώργος Χατζημάρκος, μετά το πέρας της συνεδρίασης, σε δήλωσή του τόνισε χαρακτηριστικά:
«Με σύνθεση απόψεων, συναίνεση και συνεργασία, ένα πολύ δύσκολο εγχείρημα μέρα με την ημέρα φθάνει κοντά στο στόχο του, που δεν είναι άλλος από την ανατροπή πιεστικών, επί δεκαετίες, περιβαλλοντικών καταστάσεων. Ο ΦοΔΣΑ Νοτίου Αιγαίου από τον πρώτο χρόνο της λειτουργίας του κάνει άλματα. Άλματα διοικητικά, χρηματοδοτικά, μελετητικά και είμαι υπερήφανος γιατί σε αυτόν συναντώνται φορείς και πρόσωπα που έχουν διάθεση να συνεννοηθούν. Ο μεγάλος κερδισμένος από τη δουλειά που σήμερα γίνεται στο ΦοΔΣΑ Νοτίου Αιγαίου είναι αδιαμφισβήτητα τα παιδιά μας, που θα κληρονομήσουν νησιά με σχέδιο και υποδομές στη διαχείριση των στερεών αποβλήτων».
- Εισέλθετε στο σύστημα ή εγγραφείτε για να υποβάλετε σχόλια
Διαβάστε ακόμα
- ΦΟΔΣΑ Ν. Αιγαίου: Χωρίς τέλος ταφής οι εισφορές των Δήμων
16 Ιουν. 2025 - 8:15 - Στη Σύρο πραγματοποιήθηκε η γενική συνέλευση του ΦΟΔΣΑ Ν. Αιγαίου
31 Οκτ. 2024 - 8:12 - ΦΟΔΣΑ Ν. Αιγαίου: Στην ατζέντα η επικαιροποίηση της τιμολογιακής πολιτικής για τους Δήμους
31 Ιαν. 2024 - 9:32 - Απαντήσεις “φωτιά” για ΧΥΤΑ Σύρου και Πολυχώρο
26 Οκτ. 2022 - 6:19 - “Μάχη” για μείωση των εισφορών του 2023
29 Αυγ. 2022 - 6:20